Integral Of 1 X 3

Integral Of 1 X 3

Integral of x(2x+3)^99 dx

Daftar Isi

1. Integral of x(2x+3)^99 dx


let u = 2x + 3
2x = u - 3
x = (u - 3)/2

du = 2 dx
dx = du/2

∫x(2x + 3)^99 dx = ∫(u - 3)/2 * u^99 * du/2
= 1/4 ∫(u - 3)u^99 du
= 1/4 ∫u^100 - 3u^99 du
= 1/4((1/101)u^101 - (3/100)u^100) + C
= (1/404)(2x + 3)^101 - (3/400)(2x + 3)^100 + C

2. selesaikan bentuk integral dibawah:1.integral (x+2)(x-3)dx2. integral 1/√3-4x dx3. integral x(x²+1)¹² dx


1. ∫x²-x-6dx = x³-1/2x²-6x + c

2. ∫(3-4x)pangkat -1/2 = 2(3-4x) pangkat 1/2

3. x∫(x²+1) pangkat 12 = x ( 1/13(X²+1) pangkat 13 = 1/13x ( x²+1) pangkat 13

3. 1) integral dari (1/2 x³ + 3) dx =2) integral dari (2x + 1)² dx =3) integral dari (x - 3) (x² - x) dx =​


Jawaban Super Master

1. 1/8 x⁴ + 3x + C

2. 4/3 x³ + 2x² + x + C

3. ¼x⁴ - 4/3 x³ + 3/2 x + C


4. diketahui integral -1 sampai 3 f(x) dx =3 dan integral -1 sampai 3 2g(x) dx = -4 nilai integral -1 sampai 3 ( 2f9x)-g(x)) dx


Semoga bermanfaat. Silahkan dipahami gambar di bawah ini. Terbaik ya

5. 1.Integral dari (X²-1)(X²+1)X² dx adalah2.Integral dari (X-2)(X+2)(2X-1)dx adalah3.Integral dari (X+3)(X-3)(X-9) per X²Pernya untuk keseluruhanMohon bantuannya


Integral.
Kelompok peminatan matematika dan ilmu alam kelas XI SMA kurikulum 2013 revisi 2016.

Perhitungan lihat lampiran!
Nomor 1
∫ (x² - 1)(x² + 1)x² dx
= 1/21 x³(3x⁴ - 7) + C

Nomor 2
∫ (x - 2)(x + 2)(2x - 1) dx
= 1/6 x(3x³ - 2x² - 24x + 24) + C

Nomor 3
∫ (x + 3)(x - 3)(x - 9) / x² dx
= 1/2 x² - 9 ㏑ |x| + 81/x - 9x + C

6. diketahui integral 3 ↓ -1 f(x)dx = 3 dan integral 3 ↓-1 3g(x)dx = -6 tentukan nilai integral 3 ↓-1 (2f(x)-g(x))dx


Supaat Mengajar Hitung Integral Tertentu

Perhatikan bahwa

[tex]\begin{aligned}\int_{-1}^3\left(2f(x)-g(x)\right)dx&=\int_{-1}^32f(x)dx-\int_{-1}^3g(x)dx\\&=2\int_{-1}^3f(x)dx-\frac{1}{3}\int_{-1}^33g(x)dx\\&=2\cdot3-\frac{1}{3}\cdot(-6)\\&=6+2\\&=8\end{aligned}[/tex]


7. diketahui integral 3 ↓ -1 f(x)dx = 3 dan integral 3 ↓-1 2g(x)dx = -6 tentukan nilai integral 3 ↓-1 (2f(x)-g(x))dx


₋₁ ∫ ³ [ f(x) ] dx = 3

₋₁ ∫ ³ [ 2 × g(x) ] dx = –6

Maka :

₋₁ ∫ ³ [ (2 × f(x)) – g(x) ] dx

= 2 × ₋₁ ∫ ³ [ f(x) ] dx – ½ × ₋₁ ∫ ³ [ 2 × g(x) ] dx

= (2 × 3) – (½ × [–6])

= 6 + 3

= 9


8. 1) Integral ( x-1/x)² dx = ... 2) Integral ( x² - 1 )/x² dx =.. 3) Integral (2 sin x - 3 cos x) dx =..


Nomor 1.
[tex]$\begin{align}\int\left[x-\frac1x\right]^2\, dx&=\int x^2-2.x\left[\frac1x\right]+\left[\frac1x\right]^2\, dx \\ &=\int x^2-2+\frac1{x^2}\, dx \\ &=\int x^2-2+x^{-2}\, dx \\ &=\frac{x^{2+1}}{2+1}-2x+\frac{x^{-2+1}}{-2+1}+C \\ &=\frac{x^3}{3}-2x+\frac{x^{-1}}{-1}+C \\ &=\frac13x^3-2x-\frac1x+C \end{align}[/tex]

Nomor 2.
[tex]$\begin{align}\int\frac{x^2-1}{x^2}\, dx&=\int 1-\frac1{x^2}\, dx \\ &=\int 1-x^{-2}\, dx \\ &=x-\frac{x^{-2+1}}{-2+1}+C \\ &=x-\frac{x^{-1}}{-1}+C \\ &=x+\frac1x+C\end{align}[/tex]

Nomor 3.
Integral sin x adalah -cos x
Integral cos x adalah sin x
Menjadi:
[tex]$\begin{align}\int(2\sin x-3\cos x)\, dx&=-2\cos x-3\sin x+C \\ &=-(2\cos x+3\sin x)+C\end{align}[/tex]

9. Diketahui integral dri 3 sampai -1 4f(x)dc=20 dan integral 3 sampai -1 2g(x)dc=-4 nilai integral 3 sampai -1 f(x)dx + integral 3 sampai -1 4g(x)dx=.....


[tex] \int\limits^3_{-1} 4f(x)\, dx = 20 [/tex]
[tex] \int\limits^3_{-1} f(x)\, dx = 5 [/tex]

[tex] \int\limits^3_{-1} 2g(x)\, dx =-4 [/tex]
[tex] \int\limits^3_{-1} 4g(x)\, dx = -8 [/tex]

[tex] \int\limits^3_{-1} f(x)\, dx + \int\limits^3_{-1}4g(x)\, dx = 5-8 = -3 [/tex]

10. Integral parsial Integral X(3+X)^1/2 dx


semoga membantu yaa :)

11. Tentukan 1. Integral 3 per 2 dx 2. Integral 2(x+3) dx 3. Integral (5x² + 3) dx 4. Integral 1 per X (x² - 3x) dx 5. Integral (2x+3) (x+1) dx Mohon bantuannya :)


itu jawabannya semoga membantu

12. 1.Integral 4x - 3 dx 2.integral 2+1 dx 3.integral Y²-Y+3 dx 4.integral 2Y²+4Y+5 dx 5.integral (X²+1 per X²) dx


Operasi integral campuran

13. Tentukan integral dari 1.intergral (x²+1)²dx 2.integral x 3/2 dx 3.integral 5x³-3+2dx 4.integral -9x²-1/3x²+6 dx 5.integral (x²+4x)² × x²dx Tolong dibantu jawab dikumpulkan sgera


1. integral (x²+1)²dx = integral (x⁴ + 2x² + 1)dx = (1/5)x⁵ + x³ + x + C, di mana C adalah konstanta pengintegrasian.

2.integral x^(3/2) dx = (2/5)x^(5/2) + C, di mana C adalah konstanta pengintegrasian.

3. integral 5x³ - 3 + 2dx = (5/4)x⁴ - 3x + 2x + C, di mana C adalah konstanta pengintegrasian.

4. integral -9x² - 1/3x⁴ + 6 dx = -(9/2)x³ - (1/12)x⁴ + 6x + C, di mana C adalah konstanta pengintegrasian.

5. integral (x² + 4x)² × x²dx = (1/21)x⁷ + (4/3)x⁵ + C, di mana C adalah konstanta pengintegrasian.


14. Tentukan hasil pengintegralan berikut integral x^-3 ( x^-3 - x ) ( 3 x^2 - 1 ) dx


Penjelasan dengan langkah-langkah:

[tex] \int{x}^{ - 3} ( {x}^{ - 3} - x)(3 {x}^{2} - 1)dx \\ = ( {x}^{ - 6} - {x}^{ - 2} )(3 {x}^{2} - 1)dx \\ = (3 {x}^{ - 4} - {x}^{ - 6} - 3 + {x}^{ - 2} )dx \\ = \frac{3}{ - 3} {x}^{ - 3} - \frac{1}{ - 5} {x}^{ - 5} - 3x + \frac{1}{ - 1} {x}^{ - 1} + c \\ = - {x}^{ - 3} + \frac{1}{5} {x}^{ - 5} - 3x - {x}^{ - 1} + c \\ = \frac{1}{5 {x}^{5} } - \frac{1}{ {x}^{3} } - \frac{1}{x} - 3x + c[/tex]


15. Bantuin donggggg Hasil dari integral 1. Integral 5x √x pangkat 3 dx 2. Integral (x+5)pangkat 2 dx 3. Integral √x ( x-3)pangkat 2 dx


ni utk jawaban no 1
hasilnya 5/2x². 3/5 3√xpangkat 3 +c

16. 1. Integral 1/x4^dx2. Integral x^4-x^3+x^2dx


1. 1/x^4
= x^-4 dx
= 3x^-3 +C

2.x^4-x^3+x^2dx
= 5x^5 - 4x^4 + 3x^3 +C

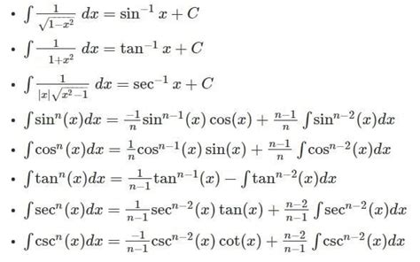
17. 1. Integral x ( 4-x²) dx 2. Integral x² √ 1-x³ dx 3. Integral ( 10x - 7 pangkat 3/2 dx


Materi Integral

Lihat gambar

18. Selesaikan Integral - Integral berikuta) integral (x-1)² dxb) integral (x+1)(x-3) dx Tolong ya temen beserta cara nya ​


RUMUS:

Integral (ax+b)pangkat n dx= 1/a(n+1).(ax+b)pangkat n+1 +C


19. integral dari 1/x^3 berapa?


∫ 1/(x^3) dx
= ∫ x^(-3) dx
= 1/(-3+1) . x^(-3+1) + C
= -1/2 . x^(-2) + C

20. Tolong ya soal integral 1.) integral (x^3-1)^2/x^3 dx 2.)integral (1+akar2)^2/akar^3 dari x


1. [tex] \int\frac{(x^3-1)^2}{x^3}\, dx [/tex]
[tex] \int\frac{x^6-2x^3+1}{x^3}\, dx [/tex]
[tex] \int x^3\,dx - \int 2\, dx + \int x^{-3}\, dx [/tex]
[tex] \frac{1}{4}x^4 - 2x - \frac{1}{2}x^{-2} + C [/tex]

2. [tex] \int\frac{(1+\sqrt{2})^2}{\sqrt[3]{x}}\, dx [/tex]
[tex] (1+\sqrt{2})^2 \int x^{-\frac{1}{3}}\, dx [/tex]
[tex] (1+\sqrt{2})^2 \frac{3}{2}x^{\frac{2}{3}}+C [/tex]

21. 1. integral x^3 cos 2x dx 2. integral (x^2 – 1) sin 4x dx 3. integral x √(x-3) dx


Jawaban:

nomer 1

integral sin (4x - 2 ) dx

= -1/4.cos (4x - 2) + C

nomer 2

integral 6 cos 4x dx

= -3/2.sin 4x + C

nomer 3

integral (5 sin x - cos (4 - 3x)) dx

= -5.cos x + 1/3.sin (4 - 3x) + C

nomer 4

integral (cos 3x - 2 sin 2x ) dx

= 1/3.sin 3x + cos 2x + C

nomer 5

integral 15 sin 2x cos 3x dx

= integral 15/2.(2. sin 2x cos 3x) dx

= integral 15/2.(sin (5/2)x + sin (-1/2)x) dx

= integral 15/2.sin (5/2)x + 15/2.sin (-1/2)x) dx

= -3.cos (5/2)x +15.cos (1/2)x + C

nomer 6

integral cos 4x cos 2x dx

= integral 1/2.(2.cos 3x + 2.cos x)dx

= integral (cos 3x + cos x)dx

= 1/3.sin 3x + sin x + C

nomer 7

integral (sin 7x cos 3x ) dx

= integral 1/2.(2.sin 7x cos 3x ) dx

= integral 1/2.(sin 5x + sin 2x) dx

= integral (1/2.sin 5x + 1/2.sin 2x) dx

= -1/10.cos 5x -1/4.cos 2x + C

Penjelasan dengan langkah-langkah:

kalau salah maap


22. 1.Integral √3x³ dx= 2.integral x/√2-x² dx= 3.integral x+1/x²+2x+1 dx=


itu untuk nmr 1 yg sebelahnya untuk nmr 2 dan 3, maaf jika nanti ada kesalahan. terimakasihhh

23. 1. integral x^2+3x-2/x dx2. integral (x^1/3+x^2/3)^23. integral (x+1)dx / (x+1)^2 + (a+1)^2dx​


2

Maaf jikalau ini salahh


24. 3. Selesaikan integral-integral berikut(√x-1/√x)² dx​


Penjelasan:

(√x+1/√x)²= x+2+x/1

integral (x+2+x/1) dx

1/2×^2x + inx+c


25. tentukan integral-integral berikut a) integral x pangkat 2 (x pangkat 3 +5)pangkat 3 dx adalah Dengan menggunakan cara substitusi tentukan integral integral berikut ini,,, a) integral 1/akar x-1 dx adalah


integral x^2 (x^3+5)^3 dx
= 1/4 . x^2 . (x^3+5)^4. 1/x^2
= 1/4 . (x^3+5)^3

integral 1/(akar)x-1 dx
= (x-1)^-1/2
= 2 (x-1)^1/2

Moga benar n membantu :Dsemoga membantu ... Rasendrio *

26. 1. integral sin¹⁰xcosxdx2. integral (x²/3+3)²x²dx​


Penjelasan dengan langkah-langkah:

1. integral sin¹⁰xcosxdx

Soal ini dapat diselesaikan dengan pemisalan

Misal:

u = sinx

Turunkan kedua sisi

du = cosx dx

Sehingga dx = du/cosx

Subsitusikan ke persamaan awal

integral sin¹⁰cosxdx

=integral u¹⁰cosx(du/cosx)

nilai cosx bisa habis

=integral u¹⁰du

dengan integral biasa diperoleh

(1/11)u^(11) + C

dimana u adalah sinx

2xSehingga:

integral sin¹⁰xcosxdx = (1/11)sin^11(x) + C

2. integral (x²/3+3)²x²dx

(x²/3+3)²x²= (x^4/9 + 2x^3 + 9)(x^2)

= x^6/9 + 2x^5 + 9x^2

integral x^6/9 + 2x^5 + 9x^2

=(1/9)*(1/7)x^7 + 2*(1/6)x^6 + 9*(1/3)*x^3 + C

= (1/63)x^7 + (1/3)x^6 + 3x^3 + C

Semoga membantu


27. 1. integral √5x-2dx2. integral 2x/x²-1 dx3. integral 3/(5x-1)^6 dx4. integral (x-1)/√x²-2x+1 dx5. integral 3e^(2x+1) dx


Cara INTEGRAL SUBSTITUSI

28. integral dari (x - 1)^3


(x - 1)³ dx
misalkan x - 1 = u
dx = du
jadinya
= u³ du
= (1 / 3+1)u⁴ + C
= ¼u⁴ + C
= ¼(x - 1)⁴ + C

29. 1. Integral (3x² –10x) dx 2. Integral (x+1 per √x)dx 3. Integral (3x^5 –2x^3 + 11) per x² dx 4. Integral (3 per x² + √x) dx


Jawab:

Penjelasan dengan langkah-langkah:

1.  [tex]x^{3} -5 x^{2}[/tex]2.[tex]1/2 x^{2} + 2\sqrt{x}[/tex]3.[tex]1/2 x^{6} - 1/2 x^{4} +11 x[/tex]4.[tex]-3 x^{-4} + 2/3 x^{3/2}[/tex]

30. 1. Integral dari x^-2 adalah ... 2. integral dari 4x^-3 adalah ...


~IntegraL

∫x⁻² dx = 1/(-2+1) x⁻¹ + C

∫x⁻² dx = -x⁻¹ + C

∫x⁻² dx = 1/x + C

∫4x⁻³ dx = 4/(-3+1) x⁻² + C

∫4x⁻³ dx = -2x⁻² + C

∫4x⁻³ dx =  -2/x² + C

Penyelesaian:

no. 1

∫ x^-2 dx

= 1/(-2 + 1) x^(-2 + 1) + C

= - x^-1 + C

= - 1/x + C

no. 2

∫ 4x^-3

= 4/(-3 + 1) x^(-3 + 1) + C

= - 2x^-2 + C

= - 2/x^2 + C

====================

Detil Jawaban

Kelas: 11

Mapel: Matematika

Bab: Integral Tak Tentu

Kode: 11.2.9

Kata Kunci: integral


31. Tentukan integral tak tentu berikut ini : 1. integral ¼x⁴ - 3/2x² + x - 52. integral x³ - 2x³ + 13. integral (3x² + 4x) dx4. integral √2x dx5. integral [tex] \frac{1}{ \sqrt[3]{(3x + 5) {}^{2} } } dx[/tex]


maaf kalo da yang salah

32. 1.Integral(1-3x kuadrat)dx 2.integral(8x pangkat3) dx 3.integral tiga akar x kuadrat - 4 akar x kuadrat 4.integral (x pangkat 3-1)kuadrat dx 5.integral (1+akar x)kuadrat per x akar 3 dx


Cman 1 dan 2 . selanjutny klw mau mudah. Lihat tabel integral

33. Integral dari (x+1)/(x-3)²


Jawaban:

selamat brpuasa mohon maaf lahir dan batin


34. 1. integral dari f(x) = x^3 adalah ... 2. integral dari f(x) = -1/x^2 adalah ...


Penjelasan dengan langkah-langkah:

Cara jawab ada di lampiran ya


35. 1. integral 1/3 x^3 dx2.integral 1/6 x dx3.integral x^1/8 dx +7 dxmohon di jawab​


Jawaban:

ok udah di jawab ya KKK

1.17/DX

2.≥

3.lebih besar


36. 1. Integral [2x³- √x + (2/x²)] dx ? 2. Integral 1 dan -1 | x³ dx ? 3. Integral 1 dan 0 | x(1-x²)^10 dx? Tolong dibantu lagi ya.


Jawab:

Penjelasan dengan langkah-langkah:


37. Diketahui nilai 3 integral -1 3f(x) dx = 12 dan 3 integral -1 2g(x)DX=-6. Nilai 3 integral -1 (f(x)+3g(x))DX=​.


Jawaban:

kurang lebih dari 1

Penjelasan dengan langkah-langkah:

12+39=7


38. 1.integral (x+1)^5 dx2. integral x²-2x+1 dx3. integral 1/√2x-1 dx4. integral x²/√x³-1 dx5. integral C^3x dx


Jawaban sudah dilampirkan.

Tolong jawabannya diberi rating bintang 5 . Tks :-)

39. diketahui integral 3 ↓ -1 f(x)dx = 3 dan integral 3 ↓-1 3g(x)dx = -6 tentukan nilai integral 3 ↓-1 (2f(x)-g(x))dx​


Supaat Mengajar Hitung Integral Tertentu

Perhatikan bahwa

[tex]\begin{aligned}\int_{-1}^3\left(2f(x)-g(x)\right)dx&=\int_{-1}^32f(x)dx-\int_{-1}^3g(x)dx\\&=2\int_{-1}^3f(x)dx-\frac{1}{3}\int_{-1}^33g(x)dx\\&=2\cdot3-\frac{1}{3}\cdot(-6)\\&=6+2\\&=8\end{aligned}[/tex]


40. Integral -3/(x+1)⁴ adalah


Jawaban terlampir pada gambar berikut

Video Terkait

Kategori matematika